1. Answer the following questions.
a. Explain the difference between a plane mirror, a concave mirror and a convex mirror with respect to the type and size of the images produced.
Answer.
| Plane mirror | Concave mirror | Convex mirror | |
| Type of image | Virtual and Erect | Virtual (erect) as well as Real (inverted) | Virtual and Erect |
| Size of image | Same size | Diminished, Same size and magnified | Diminished |
b. Describe the positions of the source of light with respect to a concave mirror in 1.Torch light 2.Projector lamp 3.Floodlight
Answer.
(a) Torch light: The source of light is placed at the focus.
(b) Projector lamp : The source of light is placed at the centre of curvature.
(c) Flood light : The source of light is placed just beyond the centre of curvature.
c. Why are concave mirrors used in solar devices?
Answer.
- Solar devices like solar cooker or solar water heater use solar energy to cook food or heat water.
- When sun rays fall on the concave mirror, they converge and come together in the focal plane.
- Due to convergence, the intensity of sun rays increases and the food or water is heated faster. Hence, concave mirrors are used in solar- devices.
d. Why are the mirrors fitted on the outside of cars convex?
Answer.
- A convex mirror is used as rear view mirror because they form erect, virtual, and diminished images.
- This, allows the driver to view a large area in a small mirror.
e. Why does obtaining the image of the sun on a paper with the help of a concave mirror burn the paper ?
Answer.
- When sunrays fall on the concave mirror, they converge and come together in the focal plane.
- Due to convergence, the intensity of sunrays increases.
- Hence, image of the sun on a paper with the help of concave mirror bums the paper.
f. If a spherical mirror breaks, what type of mirrors are the individual pieces?
Answer.
- When a spherical mirror breaks into smaller pieces, the radius of curvature and focal length does not change.
- Hence, it will continue to behave like a spherical mirror only.

2. What sign conventions are used for reflection from a spherical mirror?
Answer.
According to the Cartesian sign convention, the pole of the mirror is taken as the origin. The principal axis is taken as the X-axis of the frame of reference. The sign conventions are as follows.
- The object is always kept on the left of the mirror. All distances parallel to the principal axis are measured from the pole of the mirror.
- All distances measured towards the right of the pole are taken to be positive, while those measured towards the left are taken to be negative.
- The distance measured vertically upwards from the principal axis are taken to be positive.
- The distance measured vertically downwards from the principal axis are taken to be negative.
- The focal length of a concave mirror is negative while that of a convex mirror is positive.
3. Draw ray diagrams for the cases of images obtained in concave mirrors as described in the table on page 122.

Answer.
(a) A ray diagram for object at infinity for a concave mirror.

| Image position | Nature of image |
| At focus | Real, inverted and point image |
(b) A ray diagram for object beyond centre of curvature for a concave mirror.

An object beyond centre of curvature for a concave mirror
| Image position | Nature of image |
| Between the centre of curvature and focus. | Real, inverted and diminished. |
(c) A ray diagram for object at the centre of curvature for a concave mirror.

Object at centre of Curva fu re be a concave mirror.
| Image position | Nature of image |
| At the centre of curvature. | Real, inverted and same size |
(d) A ray diagram for object between F and C for a concave mirror.

Object between F & C for a concave mirror
| Image position | Nature of image |
| Beyond the centre of curvature. | Real, inverted and magnified. |
(e) A ray diagram for object at focus for a concave mirror.

Object at focus for a concave mirror.
| Image position | Nature of image |
| At infinity. | Real, inverted and highly magnified. |
(f) A ray diagram for object between pole and focus for a concave mirror.

| Image position | Nature of image |
| Behind the mirror. | Virtual, erect and magnified. |
4. Which type of mirrors are used in the following?
Periscope, floodlights, shaving mirror, kaleidoscope, street lights, head lamps of a car.
Answer.
| Objects | Type of Mirror |
| Periscope | Plane mirror |
| Floodlights | Concave mirror |
| Shaving mirror | Concave mirror |
| Kaleidoscope | Plane mirror |
| Street lights | Convex mirror |
| Head lamps of car | Concave mirror |
5. Solve the following examples
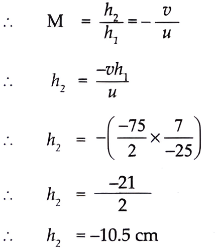
a. An object of height 7 cm is kept at a distance of 25 cm in front of a concave mirror. The focal length of the mirror is 15 cm. At what distance from the mirror should a screen be kept so as to get a clear image? What will be the size and nature of the image? (Answer: 37.5 cm and 10.5 cm. Image is real)
Answer.
Object size (h1) = 7 cm
Object distance (u) = -25 cm
Focal length (f) = -15cm
To find: Image distance (u) = ?
Image size (h2) = ?

The screen should be kept 373 cm in front of the mirror. The image is real.

The height of the image is 10.5 cm, it is an inverted and enlarged image.
b. A convex mirror has a focal length of 18 cm. The image of an object kept in front of the mirror is half the height of the object. What is the distance of the object from the mirror? (Answer: 18 cm)
Answer.
Image size (h2) = 1/2 h1
Focal length (f) = 18 cm
To find: Object distance (u) ?

The object is placed in front of the convex mirror at a distance of 18 cm.
c. A 10 cm long stick is kept in front of a concave mirror having focal length of 10 cm in such a way that the end of the stick closest to the pole is at a distance of 20 cm. What will be the length of the image? (Answer: 10 cm)
Answer.
Given: Object size (h1) = 10 cm
Object distance (u) = -20 cm
Focal length (f) = -10 cm

The height of the image is 10 cm and it is a real and inverted image.
6. Three mirrors are created from a single sphere. Which of the following pole, centre of curvature, radius of curvature, principal axis – will be common to them and which will not be common?

Answer.
- Centre of curvature and Radius of curvature will be common for all three pieces.
- Pole and Principal axis will not be common.



