1. Study the entries in the following table and rewrite them putting the connected items in a single row.

Answer.
| I | II | III |
| Mass | kg | Measure of inertia |
| Weight | N | Depends on height |
| Acceleration due to gravity | m/s2 | Zero at the centre of the earth |
| Gravitational constant | Nm2/kg2 | Same in the entire universe |

2. Answer the following questions.
a. What is the difference between mass and weight of an object. Will the mass and weight of an object on the earth be same as their values on Mars? Why?
Answer.
The mass of an object is the amount of matter present in it. It is same everywhere in the Universe and is never zero. It is a scalar quantity and its SI unit is kg. The weight of an object is the force with which the earth (or any other planet/ moon/star) attracts it. It is directed towards the centre of the earth. The weight of an object is different at different places on the earth. It is zero at the earth’s centre. It is a vector quantity and its SI unit is the newton (N). The magnitude of weight = mg.
The mass of an object will be the same on the earth and Mars, but the weight will not be the same because the value of g on Mars is different from that on the earth.
b What are (i) free fall, (ii) acceleration due to gravity (iii) escape velocity (iv) centripetal force ?
Answer.
(i) Free fall:
Whenever an object moves under the influence of the force of gravity alone, it is said to be falling freely.
(ii) Acceleration due to gravity:
The acceleration produced in a body due to the gravitational force of the earth is called the acceleration due to gravity.
[Note: On the earth’s surface, the value of the acceleration due to gravity is almost uniform. If a body falls from a low altitude, the value of the acceleration due to gravity is almost the same.]
(iii) Escape velocity:
When a body is thrown vertically upward from the surface of the earth, the minimum initial velocity of the body for which the body is able to overcome the downward pull by the earth and can escape the earth forever is called the escape velocity.
(iv) Centripetal force:
In uniform circular motion of a body, the force acting on the body is directed towards the centre of the circle. This force is called centripetal force.
c. Write the three laws given by Kepler. How did they help Newton to arrive at the inverse square law of gravity?
Answer.
Kepler’s first law :
The orbit of a planet is an ellipse with the Sun at one of the foci.

Figure shows the elliptical orbit of a planet revolving around the Sun (S).
Kepler’s second law :
The line joining the planet and the Sun sweeps equal areas in equal intervals of time.
A → B, C → D and E → F are the displacements of the planet in equal intervals of time.
The straight lines AS, CS and ES sweep equal areas in equal intervals of time.
Area ASB = area CSD = area ESF.
Kepler’s third law :
The square of the period of revolution of a planet around the Sun is directly proportional to the cube of the mean distance of the planet from the Sun.
Thus, if r is the average distance of the planet from the Sun and T is its period of revolution, then,
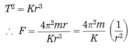
T2 ∝ r2, i.e., T2r3 = constant = K
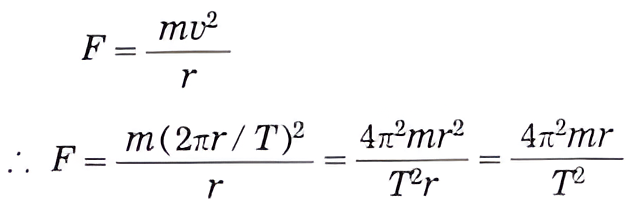
For simplicity, we shall assume the orbit to be a circle.

In Fig.
S denotes the position of the Sun, P denotes the position of a planet at a given instant and r denotes the radius of the orbit (= the distance of the planet from the Sun). Here, the speed of the planet is uniform.

If m is the mass of the planet, the centripetal force exerted on the planet by the Sun (= gravitational force),

According to Kepler’s third law,

d. A stone thrown vertically upwards with initial velocity u reaches a height ‘h’ before coming down. Show that the time taken to go up is same as the time taken to come down.
Answer.

We have, v = u + at …..(1)
and s = ut + 1/2 at2 …..(2)
∴ s = (v – at) t + 12 at2
= vt – at2 + 1/2 at2
∴ s = vt – 1/2 at2 …..(3)
As the stone moves upward from A → B,
s = AB = h, t = t1,
a = -g (retardation),
u = u and v = 0
∴ From Eq. (3), h = 0 – 1/2 (-g)t12
∴ h = 1/2gt12 …..(4)
As the stone moves downward from B → A,
t = t2, u = 0, s = h and a = g
∴ from Eq. (2), h = 1/2 gt2 …..(5)
From Eq. (4) and (5), t12 = t22
∴ t1 = t2 (∵ t1 and t2 are positive)
e. If the value of g suddenly becomes twice its value, it will become two times more difficult to pull a heavy object along the floor. Why?
Answer.
To pull an object along the floor, it is necessary to do work against the force of friction between the object and the surface of the floor. This force of friction is proportional to the weight, mg, of the object. If the value of g becomes twice its value, the weight of the object and hence the force of friction will become double. Therefore, it will become two times more difficult to pull a heavy object along the floor.
3. Explain why the value of g is zero at the centre of the earth.
Answer.
The value of g changes while going deep inside the earth. It goes on decreasing as we go from the earth’s surface towards the earth’s centre.
We shall treat the earth as a sphere of uniform density. If we consider a particle of mass m at point P at a distance (R – d) from the earth’s centre, where R is the radius of the earth and d is the depth below the earth’s surface, the gravitational force on the particle due to the earth is

F = GmM′/(R−d)2, where ‘M’ is the mass of the sphere of radius (R – d).

because the outer spherical shell is not effective (Fig.). In this case, the acceleration due to gravity is

where M is the mass of the earth. Thus, g decreases as d increases. It is less than that at the earth’s surface (GMR2) At the earth’s centre, d = R
∴ g = 0.
[Note : The formulae given in the answer are not given in the textbook. The formula density = mass volume is used to find M’.]
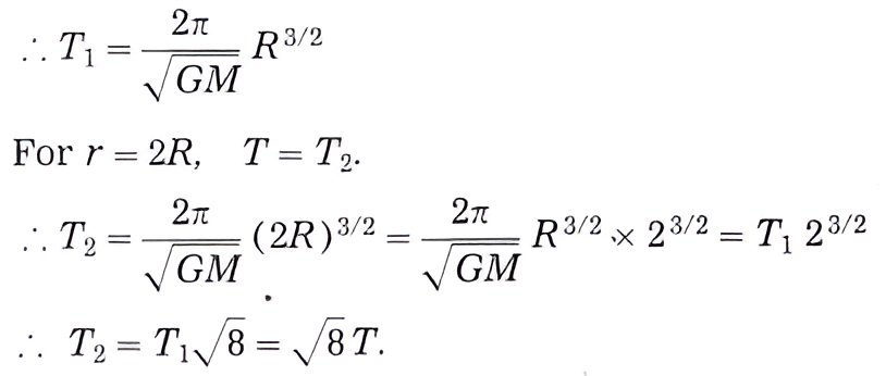
4. Let the period of revolution of a planet at a distance R from a star be T. Prove that if it was at a distance of 2R from the star, its period of revolution will be 8–√T.
Answer.
T= 2πGM√r3/2, where T = period of revolution of a planet around the Sun, M = mass of the Sun, G = gravitational constant and r = radius of the orbit assumed to be circular = distance of the planet from the Sun.
For r = R, T =T1.

5. Solve the following examples.
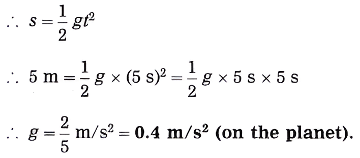
a. An object takes 5 s to reach the ground from a height of 5 m on a planet. What is the value of g on the planet? (Ans: 0.4 m/s2)
Answer.
Data: u = 0 m/s, s = 5m, t = 5s, g = ?

b. The radius of planet A is half the radius of planet B. If the mass of A is MA, what must be the mass of B so that the value of g on B is half that of its value on A? ( Ans: 2MA)
Answer.
Data : RA = RB/2, gB = 1/2 gA, MB = ?

c. The mass and weight of an object on earth are 5 kg and 49 N respectively. What will be their values on the moon? Assume that the acceleration due to gravity on the moon is 1/6th of that on the earth. (Ans: 5 kg and 8.17 N)
Answer.
Data: m = 5 kg, W = 49 N,
gM = gE/6,m (on the moon) = ?, W(on the moon) = ?
(i) The mass of the object on the moon = the mass of the object on the earth = 5 kg
(ii) W = mg

(weight of the object on the moon).
d. An object thrown vertically upwards reaches a height of 500 m. What was its initial velocity? How long will the object take to come back to the earth? Assume g = 10 m/s2 (Ans: 100 m/s and 20s)
Answer.
Data : h = 500 m, g = 10 m/s2 ,
v = 0 m/s, u =?, t (for the object going up) + t (for the object coming down) =?
As the object moves upward,
v2 = u2 + 2as
= u2 + 2 (− g)h (∵ a = − g)
Now, v = 0 m/s
∴ u2 = 2gh = 2 × 10 m/s2 × 500 m
∴ u2 = (100 × 100) (m/s)2
∴ u = 100 m/s (initial velocity of the body)
Also, v = u + at = u − gt
For v = 0 m/s, u = gt
∴ 100 m/s = 10 m/s2 × t
∴ t (for the object going up) = 10 s
Now, t (for the object coming down)
= t (for the object going up) = 10 s
∴ t (for the object going up) + t (for the object coming down)
= 10 s + 10 s = 20 s
It will take 20 s for the object to come back to the earth.
e. A ball falls off a table and reaches the ground in 1 s. Assuming g = 10 m/s2 , calculate its speed on reaching the ground and the height of the table.
(Ans. 10 m/s and 5 m)
Answer.
Data: t = 1s, g = 10 m/s2, u = 0 m/s,
s = ?, v = ?
(i) s = ut + 1/2gt2
= 1/2gt2 for u = 0 m/s
∴ s = 1/2 × 10 m/s2 × (1s)2
=5 m
∴ The height of the table = 5 m.
(ii) v = u +at = u + gt
= 0 m/s + 10 m/s2 × 1 s
= 10m/s
∴ The velocity of the ball on reaching the ground = 10 m/s.
(f) The masses of the earth and moon are 6 × 1024 kg and 7.4 × 1022 kg, respectively. The distance between them is 3.84 × 105 km. Calculate the gravitational force of attraction between the two. Use G = 6.7 × 10-11 N.m2 kg-2.
Answer.
Data : m1 = 6 × 1024 kg,
m2 = 7.4 × 1022 kg,
r = 3.84 × 105 km = 3.84 × 108 m,
G = 6.7 × 10-11 N.m2 kg-2, F = ?

This is (the magnitude of) the gravitational force between the earth and the moon.
(g) The mass of the earth is 6 × 1024 kg. The distance between the earth and the Sun is 1.5 × 1011 m. If the gravitational force between the two is 3.5 × 1022 N, what is the mass of the Sun? (Use G = 6.7 × 10-11 N.m2 kg-2)
Answer.
Data : m1 = 6 × 1024 kg,
r = 1.5 × 1011 m, F = 3.5 × 1022 N,
G = 6.7 × 10-11 N.m2kg-2, m2 = ?

= 1.96 × 1030 kg (mass of the sun)



