1. Fill in the blanks and Explain the completed sentences.
a . Refractive index depends on the …………. of light.
Answer.
Refractive index depends on the velocity of light.
It is an experimental fact. (There is no question of explanation.)
b. The change in ……………. of light rays while going from one medium to another is called refraction.
Answer.
The change in the direction of propagation of light rays while going from one medium to another is called refraction. This is definition of refraction. It is assumed that the ray of light passes obliquely from one medium to another. (There is no question of explanation.)

2. Prove the following statements.
a. If the angle of incidence and angle of emergence of a light ray falling on a glass slab are i and e respectively, prove that i = e.
Answer.

b. A rainbow is the combined effect of the refraction, dispersion, and total internal reflection of light.
Answer.
(1) The formation of a rainbow in the sky is a combined result of refraction, dispersion, internal reflection and again refraction of sunlight by water droplets present in the atmosphere after it has rained.

(2) The sunlight is a mixture of seven colours: violet, indigo, blue, green, yellow, orange and red. After it has stopped raining, the atmosphere contains a large number of water droplets. When sunlight is incident on a water droplet, there is
(i) refraction and dispersion of light as it passes from air to water
(ii) internal reflection of light inside the droplet and
(iii) refraction of light as it passes from water to air.
(3) The refractive index of water is different for different colours, being maximum for violet and minimum for red. Hence, there is dispersion of light (separation into different colours) as it passes from air to water. [ See above Figure for reference.]
(4) The combined action of different water droplets, acting like tiny prisms, is to produce a rainbow with red colour at the outer side and violet colour at the inner side. The remaining five colours lie between these two.
The rainbow is seen when the sun is behind the observer and water droplets in the front.
3. Mark the correct answer in the following questions.
A. What is the reason for the twinkling of stars?
i . Explosions occurring in stars from time to time
ii. Absorption of light in the earth’s atmosphere
iii. Motion of stars
iv. Changing refractive index of the atmospheric gases
Answer.
iv. Changing refractive index of the atmospheric gases
B. We can see the Sun even when it is little below the horizon because of
i. Reflection of light
ii. Refraction of light
iii. Dispersion of light
iv. Absorption of light
Answer.
ii. Refraction of light
C. If the refractive index of glass with respect to air is 3/2, what is the refractive index of air with respect to glass?
(i) 1/2
(ii) 3
(iii) 1/3
(iv) 2/3
Answer.
(iv) 2/3
4. Solve the following examples.
a. If the speed of light in a medium is 1.5 × 108 m/s, what is the absolute refractive index of the medium?
Answer.

This is the absolute refractive index of the medium.
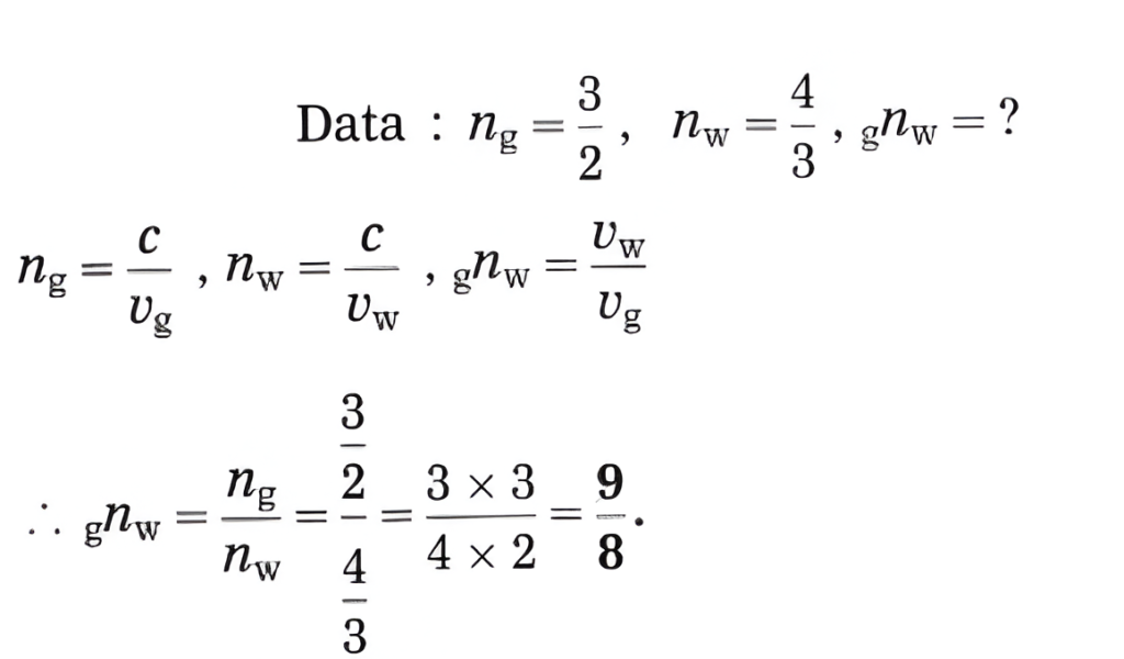
b. If the absolute refractive indices of glass and water are 3/2 and 4/3 respectively, what is the refractive index of glass with respect to water?
Answer.

This is the refractive index of glass with respect to water.



