1. Fill in the blanks and explain the statements with reasoning:
a. If the height of the orbit of a satellite from the earth surface is increased, the tangential velocity of the satellite will …
Answer.
If the height of the orbit of a satellite from the earth’s surface, is increased, the tangential velocity of the satellite will decrease.
Explanation: The gravitational force (F) exerted by the earth on the satellite will decrease if the height of the orbit of the satellite from the earth’s surface is increased. Hence, the tangential velocity of the satellite will decrease.
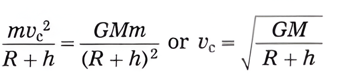
The formula

shows that υc decreases with increasing h.
b. The initial velocity (during launching) of the Mangalyaan must be greater than ………… from the earth.
Answer.
The initial velocity (during launching) of the Mangalyaan must be greater than the escape velocity from the earth.
Explanation: If a satellite is to travel beyond the gravitational pull of the earth, its velocity must be more than the escape velocity from the earth.
[Note: The velocity must be atleast equal to the escape velocity. Refer the definition of escape velocity.]

2. State with reasons whether the following sentences are true or false.
a. If a spacecraft has to be sent away from the influence of earth’s gravitational field, its velocity must be less than the escape velocity.
Answer.
False.
Explanation: The escape velocity of a body is the minimum velocity with which it should be projected from the earth’s surface, so that it can escape the influence of the earth’s gravitational field. This clearly shows that the given statement is false.
b. The escape velocity on the moon is less than that on the earth.
Answer.
True.
Explanation: Escape velocity of an object from the earth,

c. A satellite needs a specific velocity to revolve in a specific orbit.
Answer.
True.
Explanation:

where,
m: mass of the satellite
υc: critical velocity of the satellite
h: height of the satellite from the surface of the earth
M: mass of the earth
R: radius of the earth
G: gravitational constant

Thus, if the value of h changes, the value of υc also changes. It means a satellite needs to be given a specific velocity (in the tangential direction) to keep it revolving in a specific orbit.

d. If the height of the orbit of a satellite increases, its velocity must also increase.
Answer.
False.
Explanation:

where,
m : mass of the satellite
υc : critical velocity of the satellite
h : height of the satellite from the surface of the earth
M : mass of the earth
R : radius of the earth
G : gravitational constant

Thus, if the value of h changes, the value of υc also changes. It means a satellite needs to be given a specific velocity (in the tangential direction) to keep it revolving in a specific orbit.


3. Answer the following questions:
a. What is meant by an artificial satellite? How are the satellites classified based on their functions ?
Answer.
A manmade object orbiting the earth or any other planet is called an artificial satellite. Satellites work on solar energy and hence photovoltaic panels are attached on both sides of the satellite, which look like wings. Satellites are also installed with various transmitters and other equipment to receive and transmit signals between the earth and the satellites.
Classification of satellites depending on their functions:
(1) Weather satellites: weather satellites collect the information regarding weather conditions of the region. It records temperature, air pressure, wind direction, humidity, cloud cover, etc. this information is sent to the space research station on the earth and then with this information weather forecast is made.
(2) Communication satellites: In order to establish communication between different places on the earth through mobile phones or computer assisted internet, communication satellites are used. Many artificial satellites placed at various locations in the earth’s orbit are well interconnected and help us to have communication with any place, from anywhere, at any time and in any form including voicemail, email, photographs, audio mail, etc.
(3) Broadcasting satellites: Broadcasting satel¬lites are used to transmit various radio and television programs and even live programs from any place on the earth to any other place. As a result, one can have access to information about current incidents, events, programs, sports and other events right from his drawing room with these satellites.
(4) Navigational satellites: Navigational satel¬lites assist the surface, water and air transportation and coordinate their busy schedule. These satellites also assist the user with current live maps as well as real time traffic conditions.
(5) Military satellites: Every sovereign nation needs to keep the real time information about the borders. Satellites help to monitor all movements of neighboring countries or enemy countries. Military satellites also help to guide the missiles effectively.
(6) Earth observation satellites: These satellites observe and provide the real time information about the earth. These satellites also help us to collect information about the resources, their management, continuous observation about a natural phenomenon and the changes within it.
(7) Other satellites: Apart from these various satellites, certain satellites for specific works or purposes are also sent in the space. E.g. India has sent EDUSAT for educational purpose; CARTOSAT for surveys and map making. Similarly, satellites with telescopes, like Hubble telescope or a satellite like International Space Station help to explore the universe. In fact, ISS (International Space Station) provides a temporary residence where astronauts can stay for a certain short or long period and can undertake the research and study space activities.
The various functions listed above show the importance of artificial satellites.
b. What is meant by the orbit of a satellite? On what basis and how are the orbits of artificial satellites classified?
Answer.
Orbit of a satellite is its path around the earth.
Orbits of artificial satellites can be classified on various basis.
(1) On the basis of the angle of the orbital plane: Orbital plane of a satellite can be the equatorial plane of the earth or it can be at an angle to it.
(2) On the basis of the nature of the orbit: Orbital plane can be circular or elliptical in shape.
(3) On the basis of the height of the satellite: Orbit of a satellite can be HEO, MEO or LEO.
(i) High Earth Orbit (HEO) satellite: A satellite orbiting at a height equal to or greater than 35780 km above the earth’s surface is called a High Earth Orbit satellite. The critical velocity (υc) of a satellite revolving in an orbit at 35780 km above the earth surface is 3.08 km/s. Such a satellite will take about 23 hours 54 minutes to complete one revolution around the earth. The earth completes one rotation about its axis in the same time. The orbital plane of such a satellite is the equatorial plane of the earth. The satellite’s relative position appears stationary with respect to a place on the earth. This satellite is, therefore, called a geostationary satellite or geosynchronous satellite.
(ii) Medium Earth Orbit (MEO) satellite: A satellite orbiting at a height between 2000 km and 35780 km above the earth’s surface is called a Medium Earth Orbit satellite. The orbital path of such a satellite is normally elliptical and passes through the North and the South polar regions. These satellites take about 12 hours to complete one revolution around the earth.

(iii) Low Earth Orbit (LEO) satellite:
A satellite orbiting at a height between 180 km and 2000 km above the earth’s surface is called a Low Earth Orbit satellite. Normally, these satellites take 90 minutes to complete one revolution around the earth. Weather satellites, space telescopes and International Space Station are Low Earth Orbit satellites.
c. Why are geostationary satellites not useful for studies of polar regions?
Answer.
Geostationary satellites have two distinct characteristics:
(1) Geostationary satellites are HEO satellites and are placed at 35780 km above the earth’s surface.

(2) A geostationary satellite revolves in the equatorial plane of the earth, and thus, it can never fly above the polar regions.
Hence, geostationary satellites are not useful for studies of polar regions.
d. What is meant by a satellite launch vehicle? Explain the satellite launch vehicle developed by ISRO with the help of a schematic diagram.
Answer.
A rocket used to carry an artificial satellite to a desired height above the earth’s surface and then project it with a proper velocity so that the satellite orbits the earth in the desired orbit is called a launch vehicle. A satellite launch vehicle needs a specific velocity as well as a thrust to reach the desired height above the earth’s surface. The velocity and the thrust of a satellite launch vehicle depend on the weight and orbital height of the satellite.
Accordingly, the structure of the launch vehicle is decided and designed. The weight of the fuel also contributes a major portion in the total weight of the launch vehicle. This also influences the structure of the launch vehicle. In order to use the fuel optimally, multiple stage launch vehicles are now designed and used.
The Polar Satellite Launch Vehicle (PSLV) developed by ISRO is shown below in a schematic diagram.

e. Why is it beneficial to use a satellite j launch vehicle made up of more than one stage?
Answer.
Earlier Satellite Launch Vehicles (SLV) used to be of a single stage vehicles. Such SLVs used to be very heavy as well as expensive in terms of its fuel consumption. As a result, SLVs with multiple stages were developed.
In multistage SLVs, as the journey of the launch vehicle progresses and the vehicle achieves a specific velocity and a certain height, the fuel of the first stage is exhausted and the empty fuel tank gets detached from the main body of the launch vehicle and falls back into a sea or on unpopulated land. As the fuel in the first stage is exhausted, the engine in the second stage is Ignited. However, the weight of the launch vehicle is now less than what it was earlier and hence it can move with higher velocity, Thus, it saves fuel consumption. Hence, it is beneficial to use a multistage satellite launch vehicle.
4. Complete the following table:

Answer.

5. Solve the following problems:
a. If the mass of a planet is eight times the mass of the earth and its radius is twice the radius of the earth, what will be the escape velocity for that planet?
Answer.
Given:
(1) The mass of the planet (M) is eight times the mass of the earth, i.e., 8 × 6 × 1024 kg
(2) The radius of the planet (R) is twice the radius of the earth, i.e., 2 × 6.4 × 106 km
(3) G = 6.67 × 10-11 N·m2/kg2
Escape velocity for that planet

= 2.237 × 104 m/s
= 22.37 km/s
b. How much time would a satellite in an orbit at a height of 35780 km above the earth’s surface take to complete one revolution around the earth, if the mass of the earth were four times its original mass?
Answer.
Given: R (Earth) = 6400 km = 6.4 × 106 m,
M (Earth) = 6 × 1024 kg
∴ M’ = 4M = 4 × 6 × 1024 kg
h = 35780 km = 3.578 × 107 m = 35.78 × 106 m,
G = 6.67 × 10-11 N·m2/kg2, T = ?
The time that the satellite would take to complete one revolution around the earth,

= Approx 4.303 × 104 s
= Approx 11.95 h
or 11 hours 57 minutes 10 seconds.
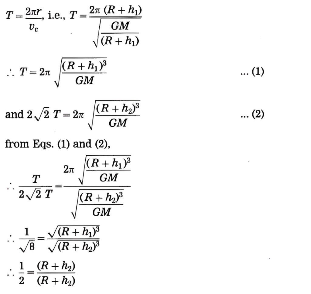
c. If the height of a satellite completing one revolution around the earth in T seconds is h1 meters, then what would be the height of a satellite taking 2√ T seconds for one revolution?
Answer.
Given:
(1) Time: T seconds
(2) Height: h1
Let us assume the height of the satellite completing one revolution in 22–√ T seconds as h2.

∴ R + h2 = 2R + 2h1
∴ h2 = R + 2h1



